Policétido
Los policétidos son metabolitos secundarios de bacterias, hongos, plantas y animales. Los policétidos son biosintetizados por la polimerización de subunidades acetilo, y propionilo obtenidas por descarboxilación de malonil coenzima A o metilmalonil coenzima A en un proceso similar a la biosíntesis de ácidos grasos (una condensación de Claisen). De hecho las enzimas de biosíntesis de ácidos grasos son consideradas como una variante de las policétido sintasas[1] Son los bloques de construcción de un amplio rango de productos naturales.
Los policétidos son estructuralmente una familia muy diversa de productos naturales con actividades biológicas y propiedades farmacológicas diversas. En uso comercial hay antibióticos policétidos, antifúngicos, citostáticos, anticolesterolémicos, antiparasíticos, promotores del crecimiento animal, e insecticidas naturales.
Biosíntesis
Los policétidos son sintetizados por complejos enzimáticos denominados policétido sintasa.[1] Debido a las similitudes de los mecanismos entre los ácidos graso sintasas (FAS) y las policétido sintasas (PKS), estas últimas se clasifican según la nomenclatura de los tipos de FAS, con algunas modificaciones adicionales según sea necesario.[2][3]
La diversidad de los policétidos depende de cuatro factores: el tipo de policétido precursor,las unidades de iniciación y extensión, el número de unidades ensambladas y las modificaciones posteriores del precursor.[4]
Tipos de policétidos precursores
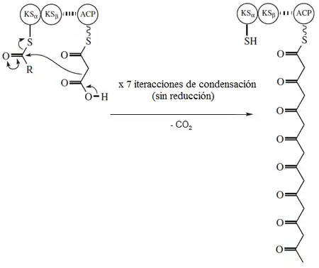
Un policétido precursor es un compuesto que sirve de partida para la síntesis de otros policétidos. Se forman por condensaciones sucesivas de Claisen. La diversidad de los policétidos precursores depende de las operaciones de reducción del grupo β-cetoácido formado. Cuando por cada elongación producida por una condensación de Claisen la cetona es reducida hasta grupo metileno, se forma un ácido graso y la enzima entonces es una ácido graso sintasa (FAS):

Un tipo muy común de precursor policétido es el ácido poliacético, el cual se forma cuando en todas las operaciones de elongación no se lleva a cabo ninguna reducción:

Otro tipo de precursor policétido es aquel en donde los patrones de reducción son intermedios. Un ejemplo típico son los policétidos modulares, en donde la PKS contiene subunidades distintas con diferentes niveles de reducción. El producto es un compuesto con patrones de reducción variados:

Unidades de iniciación y extensión
Cuando un policétido se va a sintetizar, las PKS parten de dos moléculas (de manera análoga a la síntesis de ácidos grasos):[2]
- Una unidad de iniciación, la cual es un ácido esterificado a una unidad de Coenzima A; esta molécula se une a la proteína acarreadora de acilos y es la que funciona como aceptora primera del carbanión de acuerdo al mecanismo de la condensación de Claisen
El siguiente cuadro muestra las principales unidades de iniciación reportadas en diversos policétidos:
| Tabla resumen. Unidades de iniciación comunes en policétidos.[2] | |||||||
|---|---|---|---|---|---|---|---|
| Nombre | Estructura | Ejemplos de policétidos que lo contienen | |||||
| Acetil CoA | ![]() | Común en varios policétidos y ácidos grasos | |||||
| Propionil CoA | ![]() | Eritromicina | |||||
| Isobutiril CoA | ![]() | Ácido 15-metilhexadecanoico; Floroisobutirofenona; Hiperforina | |||||
| 2-metilbutiril CoA | ![]() | Ácido 12-metiltetradecanoico | |||||
| Hexanoil CoA | ![]() | Aflatoxinas | |||||
| 3-metilbutiril CoA | ![]() | Ácido 15-metilhexadecanoico | |||||
| p-hidroxicinamoil CoA | ![]() | Flavonoides y estilbenos | |||||
| 2-Ciclopentenil CoA | ![]() | Ácido hidnocárpico | |||||
| 2-metil-tiazolcarbonil CoA | ![]() | Epotilonas | |||||
| Antraniloil CoA | ![]() | Quinolonas y acridonas | |||||
- Varias unidades de extensión, las cuales consisten en ácidos malónicos α-sustituidos o no, esterificados con un tiol de un residuo de cisteína de la KS. El mecanismo general de la obtención de las unidades de extensión es la carboxilación en α de un ácido con hidrógenos disponibles en esta posición, pero pueden obtenerse ciertas unidades por otros medios. Pueden clasificarse también por su tipo de unión: si van unidos a CoA o si van unidos a la ACP.[3][2]
El siguiente cuadro muestra las principales unidades de extensión reportadas en diversos policétidos:
| Tabla resumen. Unidades de extensión comunes en policétidos.[2] | |||||||
|---|---|---|---|---|---|---|---|
| Grupo acilo | Estructura | Ejemplos de policétidos que lo contienen | Tipo de unión | ||||
| Malonilo | ![]() | Común en varios policétidos y ácidos grasos | CoA | ||||
| Metilmalonilo | ![]() | Eritromicina | CoA | ||||
| Etilmalonilo | ![]() | Germicidinas | CoA | ||||
| Cloroetilmalonilo | ![]() | Salinosporamidas | CoA | ||||
| (2R)-Metoximalonilo | ![]() | Ansamitocina P-3, bafilomicina A1, concanamicina A, geldanamicina, herbimicina | ACP | ||||
| (2R)-Hidroximalonilo | ![]() | Blasticidina A, Aflastatina A | ACP | ||||
| (2S)-Aminomalonilo | ![]() | Zwittermicina A | ACP | ||||
Número de unidades ensambladas
Por lo general, los policétidos que provienen de precursores poliacéticos se diversifican a medida que incrementa la longitud de su cadena. Los pentacétidos, hexacétidos, heptacétidos y octacétidos son los más comunes en la naturaleza. Sin embargo, los policétidos modulares pueden llegar hasta unidades de 15 pares de carbonos.[3][2]
Modificaciones posteriores
Los policétidos precursores pueden modificarse después del ensamble para sufrir reacciones posteriores de ciclización, oxidación, reducción, descarboxilación, transposición, alquilación, conjugación con otras moléculas o dimerización. Estas posibilidades de reaccionar posteriormente contribuyen significativamente a la alta diversidad de compuestos policétidos.[3][2]

Ejemplos
A continuación se enlistan los policétidos más comunes en bioquímica y farmacognosia:
- Metabolitos secundarios de ácidos grasos
- Policétidos aromáticos: La mayoría provienen de ácidos poliacéticos. Algunos provienen de precursores modulares. La mayoría presentan un patrón alternado de oxidación (Patrón resorcinólico). Pueden presentar estructuras heterocíclicas.


![]() |
![]() |
![]() |
![]() |
![]() |

![]() |
-Aflatoxin_B1_Structural_Formulae_V.1.svg.png.webp)



- Alomelaninas
- Azafilonas: mitorubrinol, mitorubina, mitorubrinal y ácido mitorubrínico; entonaeminas A, B y C; rutilinas A y B.
- Policétidos lineales

![]() |
![]() |
![]() |

- Espirotetronatos: Kijanimicina; tetrocarcinas.
- Indenos: Cianosporásidos; espinosinas; indanomicina; stawamicina; cafamicina.
- Enediinos: Esperamicinas; caliqueamicina; C-1027; dinemicinas; neocarzinostatina.
- Salinosporamidas

- Estatinas: Lovastatina; simvastatina; prvastatina; mevastatina; monocolinas; solastatina; versipelostatina.



- Policétidos mixtos. Presentan conjugación, acoplamiento o condensación con unidades provenientes de otras rutas metabólicas:
- C-Glucósidos: Ácido carmínico
- Policétidos c/terpenos o aminoácidos ramificados:Germicidinas; floroisobutirofenona; ácido micofenólico; psorospermina; psorofebrina;
- Policétidos c/derivados del shikimato: Flavonoides; chalconas; estilbenoss; 2-fenilvinilcromonas; criptopiranmoscatonas; florobenzofenonas; xantonas floroglucinólicas; ácido norwedélico; ceanofendlina; hispolon; ácido epiplakínico; escaurinas; serpenteno; pentaporinas; bitungólidos; lignarenonas; foslactomicinas; estrobilurinas.
- Policétidos alcaloidales: Ácido fusárico; pinidina; korupensaminas; michelaminas A y B; cassiarinas A - F; monascorubramina; PP-R; rubropunctamina; chalciporona; aspertinas; rumbrinas; auxarconjugatinas; pseurotina; sinerazol; curacina A; caliculinas; clavosinas; geometricinas; swinhoeiamidas; piericidinas; lagunamicina; lactidomicina; ciclohexamida; estreptimidona; azoxistrobina.
- Policétidos c/ péptidos o aminoácidos: Antimicinas; ocratoxinas A, B y C; aminocoumacinas; zwittermicina; leinamicina; azinomicinas; carzinofilina; boletocrocinas; criptoficinas.

- Amidas y azoles: Pederinas; micalamidas; icadamidas; irciniastatina; psimberina; onamidas; dariamidas; asukamicinas; bengamidas, bengazoles; oxazolomicina; fuligopirona; shishididemnioles; mixotiazoles; henoxazoles; kabiramidas; jaspisamidas; ulapualido; dizorazoles.
- Elfamicinas: Kirromicina; kirrotricina; azdimicina; efrotomicina; mocimicinas; heneicomicina; factumicina; MSD A63A; L681,217; fenelfamicinas.
- Derivados de la aureatina: Aureatinas; serie SNF4435; orinocina; espectinabilina.
- Citocalasinas

Referencias
- Robinson JA (1991). «Polyketide synthase complexes: their structure and function in antibiotic biosynthesis». Philos Trans R Soc Lond B Biol Sci. 332: 107-114. PMID 1678529. doi:10.1098/rstb.1991.0038.
- Yolande A. Chan, Angela M. Podevels, Brian M. Kevanya and Michael G. Thomas. "Biosynthesis of polyketide synthase extender units". Nat. Prod. Rep. (2009) 26, 90–114
- C. Hertweck. "The Biosynthetic Logic of Polyketide Diversity".Angew. Chem. Int. (2009) 48, 4688 – 4716
- T. J. Simpson, in ‘Biosynthesis,’ vol. 5, ed. J. D. Bu’lock, Specialist Periodical Reports, The Chemical
- Beecken et al. Biotechnic & Histochemistry (2003) 78(6), 289
- Adbdel-Lateff. Z. Naturforsch (2008), 63c, 631
- Dehai et al. Tetrahedron Letters (2007), 48(30), p. 5235





























