Nigrifactina
La nigrifactina es un pseudoalcaloide piperidínico aislado por Kaneko en 1968 a partir de un cultivo de Streptomyces nigrifaciens FFD-101.[2] Este compuesto presenta propiedades antihistamínicos y afecta a la presión sanguínea. UV: [ácido]λmax354 (ε) ( MeOH/HCl) [básico]λmax300 (ε) ( MeOH at pH 9.2) [neutro]λmax354 (ε36700) ( MeOH) [neutro]λmax354 (ε36700) ( MeOH).
| Nigrifactina | ||
|---|---|---|
![]() | ||
| Nombre IUPAC | ||
| 6-[(1E,3E,5E)-hepta-1,3,5-trienil]-2,3,4,5-tetrahidropiridina | ||
| General | ||
| Fórmula estructural |
| |
| Fórmula molecular | C12H17N | |
| Identificadores | ||
| Número CAS | 23943-03-5[1] | |
| ChEBI | 7571 | |
| ChemSpider | 4445005 | |
| PubChem | 5281688 | |
| KEGG | C10162 | |
| Propiedades físicas | ||
| Masa molar | 175,273 g/mol | |
| Valores en el SI y en condiciones estándar (25 ℃ y 1 atm), salvo que se indique lo contrario. | ||
Actividad biológica
La inyección intravenosa causa una caída de presión sanguínea en conejo. La nigrifactina también inhibe la respuesta a la histamina y la colina pero no actúa sobre estimulantes antagonistas tales como atropina, adrenalina, y noradrenalina. Este compuesto es inestable y polimeriza aun con gases inertes. Puede ser estabilizado por una solución de ácido pícrico, en donde se forman las sales de iminio.[3]
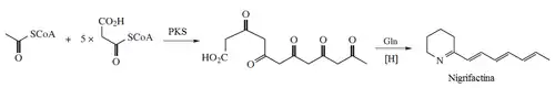
Biosíntesis
Terashima y colaboradores demostraron que el esqueleto de carbono proviene de la ruta del acetato-malonato en donde se forma un hexacétido que incorpora nitrógeno, probablemente del amoniaco o de la glutamina.[4]

Referencias
- Número CAS
- Kaneko, Y. et al., Agric. Biol. Chem., 1968, 32, 783- 785
- Terashima, T., Kuroda, Y. and Kaneko, Y. Agric. Biol. Chem. 1970, 34, 753-759
- Terashima, T. et al., Chem. Comm., 1973, 75- 76
