Diterpeno
Los diterpenos son los terpenos de 20 carbonos. Se encuentran en las plantas superiores, hongos, insectos y organismos marinos. Entre ellos se incluye el fitol, que es el lado hidrofóbico de la clorofila, las hormonas giberelinas, los ácidos de las resinas de las coníferas y las especies de legumbres, las fitoalexinas, y una serie de metabolitos farmacológicamente importantes, incluyendo el taxol, un agente anticáncer encontrado en muy bajas concentraciones (0,01% de peso seco) en la madera del tejo ("yew"), y forskolina, un compuesto usado para tratar el glaucoma. Algunas giberelinas tienen 19 átomos de carbono por lo que no son consideradas diterpenoides porque perdieron un átomo de carbono durante una reacción de escisión.[1]
Biosíntesis
    
Todos los diterpenos se generan a partir de un tetraprenol denominado pirofosfato de geranilgeranilo, el cual se produce a partir de la prenilación del pirofosfato de farnesilo.[2]

Este esqueleto de cadena abierta puede evolucionar a los siguientes estructuras monocíclicas. El esqueleto de labdano se genera por una diciclización concertada.

Estructuras base
    
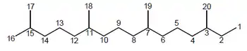
    Fitano
    
|  | 
| Fitano | 
Prenilbisabolano
    
|  | 
| Prenilbisabolano | 
Labdano
    
|  | 
| Labdano | 
Halimano
    
|  | 
| Halimano | 
Gnafalano
    
|  | 
| Gnafalano | 
Colensano
    
|  | 
| Colensano | 
ent-Clerodano
    
|  | 
| Clerodano | 
Abietano
    
|  |  | -Abeo-13%252C16-cicloabietano.png.webp) | -Abeoabietano.png.webp) | %252C19(4--3)-Bisabeoabietano.png.webp) | 
| Abietano | 3,16-Cicloabietano | 19(4→3)-Abeo-13,16-cicloabietano | 17(15→16)-Abeoabietano | 17(15→16),19(4→3)-Bisabeoabietano | 
Icetexano
    
|  | 
| Icetexano | 
Totarano
    
|  | 
| Totarano | 
Nagilactona
    
| -decahidronaftaleno.png.webp) |  | 
| 5-etil-1,1,4a-trimetil-6-(2-metilpropil)-decahidronaftaleno | Nagilactona | 
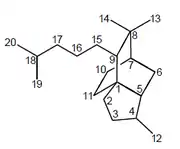
Pimarano
    
|  |  | 
| Pimarano | Isopimarano | 
Rosano
     
|  | 
| Rosano | 
Eritroxilano
    
|  | 
| Eritroxilano | 
Parguarano
    
|  | 
| Parguarano | 
Devadarano
    
|  | 
| Devardarano | 
Cassano
    
|  |  | 
| Cassano | Vouacapano | 
Cleistantano
    
|  | 
| Cleistantano | 
Isocleistantano
    
|  | 
| Isocleistantano | 
Isocopalano
    
|  |  | 
| Isocopalano | Espongiano | 
Kaurano y filocladano
    
|  |  | 
| Kaurano | Filocladano | 
Ginkgólidos y bilobálidos
    
|  |  | 
| Bilobálido | Ginkgólidos | 
Beyerano
    
|  | 
| Beyerano | 
Villanovano
    
|  | 
| Villanovano (Diterpeno) | 
Atisano
    
|  | 
| Atisano | 
Traquilobano
    
|  | 
| Traquilobano | 
Helvifulvano
    
|  | 
| Helvifulvano | 
Aconitano
    
|  | 
| Aconitano | 
Heteratisano
    
|  | 
| Heteratisano | 
Afidicolano
    
|  | 
| Afidicolano | 
Giberelano
    
|  | 
| Giberelano | 
Gibano
    
|  | 
| Gibano | 
Leucotol
    
| Leucotol | 
Grayanotoxano
    
|  | 
| Grayanotoxano | 
Cembrano
    
|  | 
| Cembrano | 
Basmano
    
|  | 
| Basmano | 
Eunicelano
    
|  | 
| Eunicelano | 
Abestinano
    
|  | 
| Abestinano | 
Esferano
    
|  | 
| Esferano | 
Briarano
    
|  | 
| 'Briarano | 
Dolabelano
    
|  | 
| Dolabelano | 
Neodolabelano
    
|  | 
| Neodolabelano | 
Dolastano
    
|  | 
| Dolastano | 
Ciatano
    
|  | 
| Ciatano | 
Esferoano
    
|  | 
| Esferoano | 
Verrucosano
    
|  | 
| Verrucosano | 
Neoverrucosano
    
|  | 
| Neoverrucosano | 
Homoverrucosano
    
|  | 
| Homoverrucosano | 
Neohomoverrucosano
    
|  | 
| Neohomoverrucosano | 
Casbano
    
|  | 
| Casbano | 
Latirano
    
|  | 
| Latirano | 
Ramnofolano
    
|  | 
| Ramnofolano | 
Dafnano
    
|  | 
| Dafnano | 
Tigliano
    
|  | 
| Tigliano | 
Ingenano
    
|  | 
| Ingenano | 
Jatrofano
    
|  | 
| Jatrofano | 
Jatrofolano
    
|  | 
| Jatrofolano | 
Crotofolano
    
|  | 
| Crotofolano | 
Fusicocano
    
|  | 
| Fusicocano | 
Valparano
    
|  | 
| Valparano | 
Mulinano
    
|  | 
| Mulinano | 
Espatano
    
|  | 
| Espatano | 
Verticilano
    
|  | 
| Verticilano | 
Taxano
    
|  | -Abeotaxano.png.webp) | 
| Taxano | 11(15→1)-Abeotaxano | 
Trinervitano
    
|  | 
| Trinervitano | 
Kempano
    
|  | 
| Kempano | 
Anfilectano
    
|  | 
| Anfilectano | 
Cicloanfilectano
    
|  | 
| Cicloanfilectano | 
Adociano
    
|  | 
| Adociano | 
Neoanfilectano
    
|  | 
| Neoanfilectano | 
Xenicano
    
|  | 
| Xenicano | 
Xeniafilano
    
|  | 
| Xeniafilano | 
Viscidano
    
|  | 
| Viscidano | 
Eremano
    
|  | 
| Eremano | 
Prenileudesmano
    
|  | 
| Prenileudesmano | 
Prenilgermacrano y prenilciclogermacrano
    
|  |  | 
| Prenilgermacrano | Prenilciclogermacrano | 
Lobano
    
|  | 
| Lobano | 
Paquidictiano
    
|  | 
| Paquidictiano | 
Prenilaromadendrano
    
|  | 
| Prenilaromadendrano | 
Serrulatano
    
|  | 
| Serrulatano | 
Biflorano
    
|  | 
| Biflorano | 
Decipiano
    
|  | 
| Decipiano | 
Saculatano
    
|  | 
| Saculatano | 
Obtusano
    
|  | 
| Obtusano | 
Esfenolobano
    
|  | 
| Esfenolobano | 
Sordaricinas
    
|  | 
| Sordaricina | 
Referencias
    
- West, C.A. (1981) in Biosynthesis of Isoprenoid Compounds, (eds J. W. Porter et al.) Wiley, New York, Vol. 1, p. 375.
- Paul M. Dewick (2009). Medicinal natural products: a biosynthetic approach. John Wiley and Sons. ISBN 9780470741689.
- J. D. Connolly, Robert Alfred Hill (1991). Chapman & Hall, ed. Dictionary of Terpenoids, Volumen 1. ISBN 9780412257704.

