Reacción de Schmidt
La reacción de Schmidt es una reacción orgánica que implica la migración de un alquilo sobre un enlace carbono-nitrógeno de una azida con la expulsión de una molécula diatómica de nitrógeno.[1][2] Un reactivo clave para la introducción del grupo azida es el ácido hidrazoico y el producto de la reacción depende del tipo de reactivos: los ácidos carboxílicos forman aminas a través de un isocianato como intermediario (1) mientras que las cetonas forman amidas (2):

Para esta reacción se requiere un catalizador que sea un ácido prótico (generalmente ácido sulfúrico o un ácido de Lewis). La reacción fue descubierta en 1924 por Karl Friedrich Schmidt (1887-1971),[3] en donde se convirtió exitosamente benzofenona y ácido hidrazoico en benzanilida. Esta reacción una herramienta utilizada habitualmente en la química orgánica para la síntesis de nuevos compuestos orgánicos, por ejemplo, la 2-quinuclidona.
Mecanismo de reacción
La reacción de Schmidt comienza con un ion acilio obtenido a partir de la protonación del ácido carboxílico y su posterior pérdida de agua (1). La reacción siguiente con ácido hidrazoico forma el catión 3-aciltriaz-1-in-2-io (2), el cual sufre una reacción de transposición con el grupo alquilo R y la migración en el enlace CN con la expulsión de nitrógeno diatómico (3). Así, se forma un isocianato protonado el cual es atacado por el agua formando el carbamato (4), el cual después de la desprotonación pierde dióxido de carbono y forma una amina primaria.

La reacción está relacionada con la transposición de Curtius, excepto que en esta reacción la azida es protonada y por lo tanto presenta con intermediarios diferentes.
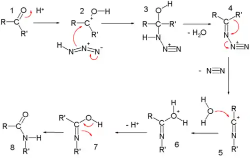
En el mecanismo de reacción para la reacción de Schmidt a partir de una cetona, el grupo carbonilo es activado por una protonación (1), la cual da el ácido conjugado activo para una adición nucleofílica por la azida(2), formándose un intermediario 3-(1-hidroxi-1-dialquil)triaz-1-in-2-io (3). Este catión pierde agua por eliminación y se forma un 3-(1-alquiliden)triaz-1-in-2-io (4). Uno de los grupos alquilo migra al nitrógeno imínico con la pérdida de nitrógeno diatómico, que se convierte en el intermediario 5. Una migración similar se encuentra en la transposición de Beckmann. La hidrólisis (6) forma un ácido carboximídico, el cual tautomeriza a la amida deseada (7).

Reacciones que implican alquilazidas
El espectro de esta reacción ha sido extendido a reacciones de carbonilos con alquilazidas R-N3. Esta modificación fue reportada por J.H. Boyer in 1955[4] (por lo que se denomina también Reacción de Boyer). Un ejemplo es la reacción de m-nitrobenzaldehído con β-azido-etanol:

Existen variaciones que implican reacciones de Schmidt intramoleculares, las cuales han sido estudiadas desde 1991.[5] Una de estas reacciones ha sido aplicada a la síntesis de lactamas bicíclicas novedosas:[6]

Véase también
Referencias
- Plagens, Andreas; Laue, Thomas M. (2005). Named organic reactions (2nd edición). John Wiley & Sons. ISBN 0-470-01041-X.
- Wolff, H. Org. React. 1946, 3.
- Schmidt, Karl Friedrich (9 de abril de 1924). «Über den Imin‐Rest». Berichte der deutschen chemischen Gesellschaft (A and B Series) (en alemán) 57 (4): 704-706. ISSN 0365-9488. doi:10.1002/cber.19240570423.
- J. H. Boyer and J. Hamer (1955). «The Acid-catalyzed Reaction of Alkyl Azides upon Carbonyl Compounds». J. Am. Chem. Soc. 77 (4): 951-954. doi:10.1021/ja01609a045.
- Jeffrey Aube and Gregory L. Milligan (1991). «Intramolecular Schmidt reaction of alkyl azides». J. Am. Chem. Soc. 113 (23): 8965-8966. doi:10.1021/ja00023a065.
- Lei Yao and Jeffrey Aubé (2007). «Cation–π Control of Regiochemistry of Intramolecular Schmidt Reactions en Route to Bridged Bicyclic Lactams» (Communication). J. Am. Chem. Soc. 129 (10): 2766-2767. PMC 2596723. PMID 17302421. doi:10.1021/ja068919r.