Reacción de Diels-Alder
La reacción Diels-Alder es una reacción pericíclica de cicloadición entre un dieno conjugado y un compuesto insaturado comúnmente denominado dienófilo, para formar un derivado sustituido del ciclohexeno.
_red.svg.png.webp)
A través de la construcción simultánea de dos nuevos enlaces carbono-carbono, la reacción Diels-Alder proporciona un forma confiable de formar anillos de seis miembros con un buen control sobre los resultados regio y estereoquímicos.[1][2] En consecuencia, ha servido como una herramienta poderosa y ampliamente aplicada para la introducción de la complejidad química en la síntesis de productos naturales y nuevos materiales.[3][4] El concepto subyacente también se ha aplicado a sistemas π que involucran heteroátomos, tales como carbonilos e iminas, que proporcionan los heterociclos correspondientes; Esta variante se conoce como la reacción hetero-Diels-Alder. La reacción también se ha generalizado a otros tamaños de anillo, aunque ninguna de estas generalizaciones ha coincidido con la formación de anillos de seis miembros en términos de alcance o versatilidad.
Historia
Otto Paul Hermann Diels y Kurt Alder documentaron por primera vez la reacción en 1928, trabajo por el que fueron galardonados con el Premio Nobel de Química en 1950 por su trabajo. El primer ejemplo descrito es la reacción entre el 1,3-butadieno y el eteno. También reportaron la reacción entre ciclopentadieno y quinona:

El trabajo de Diels y Alder se describe en una serie de 28 artículos publicados en Justus Liebigs Annalen der Chemie y Berichte der deutschen chemischen Gesellschaft de 1928 a 1937. Los primeros 19 artículos fueron escritos por Diels y Alder, mientras que los artículos posteriores fueron escritos por Diels y varios colaboradores.[5][6]
El dienófilo
La reacción de cicloadición de Diels-Alder ocurre más rápidamente si el compuesto alqueno, o dienófilo, tiene un grupo sustituyente atractor de electrones, conjugado con el doble enlace. Por tanto, el etileno reacciona lentamente, pero son altamente reactivos el propenal, el propenoato de etilo, anhídrido maleico, benzoquinona, propenonitrilo y compuestos similares.[7]
En una demanda normal de reacción de Diels-Alder, el dienófilo tiene un grupo electrodonador en conjugación con el alqueno; en un escenario de demanda inversa, el dienófilo se conjuga con un grupo donante de electrones.[8] Los dienófilos se pueden elegir para contener una "funcionalidad enmascarada". El dienófilo sufre una reacción Diels-Alder con un dieno que introduce dicha funcionalidad en la molécula del producto. Luego sigue una serie de reacciones para transformar la funcionalidad en un grupo deseable. El producto final no se puede hacer en un solo paso Diels Alder porque el dienófilo equivalente no es reactivo o es inaccesible. Un ejemplo de este enfoque es el uso de α-cloroacrilonitrilo (CH2 = CClCN). Cuando reacciona con un dieno, este dienófilo introducirá la funcionalidad de α-cloronitrilo en la molécula del producto. Esta es una "funcionalidad enmascarada" que luego puede hidrolizarse para formar una cetona. El dienófilo de α-cloroacrilonitrilo es un equivalente del dietefilo ceteno (CH2 = C = O), que produciría el mismo producto en un paso DA. El problema es que el keteno en sí no se puede usar en las reacciones de Diels-Alder porque reacciona con los dienos de manera no deseada (por cicloadición [2 + 2]), y por lo tanto se debe usar el enfoque de "funcionalidad enmascarada".[9] Otras de estas funcionalidades son los sustituyentes de fosfonio (que producen dobles enlaces exocíclicos después de la reacción de Wittig), diversas funcionalidades de sulfóxido y sulfonilo (ambas son equivalentes de acetileno) y grupos nitro (equivalentes de queteno).[10]
El dieno
El dieno debe adoptar lo que se llama una conformación s-cis respecto al enlace sencillo, para experimentar una reacción de Diels-Alder. Únicamente en la conformación s-cis los carbonos 1 y 4 están lo suficientemente cerca para reaccionar a través de un estado de transición cíclico. En la conformación alternativa s-trans, los extremos del dieno están demasiado separados para traslaparse con los orbitales p del dienófilo. Para que el dieno sea muy reactivo éste debe ser rico en electrones, esto es; sustituido por grupos electrodonadores.[7]
El dieno puede tener estructuras diversas. El componente de dieno de la reacción Diels-Alder puede ser de cadena abierta o cíclico, y puede albergar muchos tipos diferentes de sustituyentes;[10] sin embargo, debe poder existir en la conformación s-cis, ya que esto es El único conformador que puede participar en la reacción. Aunque los butadienos son típicamente más estables en la conformación s-trans, en la mayoría de los casos la diferencia de energía es pequeña (~ 2-5 kcal / mol).[11]

Un sustituyente voluminoso en la posición C2 o C3 puede aumentar la velocidad de reacción al desestabilizar la conformación s-trans y forzar el dieno a la conformación reactiva s-cis. El 2-terc-butil-buta-1,3-dieno, por ejemplo, es 27 veces más reactivo que el butadieno simple.[10][12] Por el contrario, un dieno que tiene sustituyentes voluminosos tanto en C2 como en C3 son menos reactivos porque las interacciones estéricas entre los sustituyentes desestabilizan la conformación s-cis.[12]
Los dienos con sustituyentes voluminosos terminales (C1 y C4) disminuyen la velocidad de reacción, presumiblemente al impedir el acercamiento del dieno y el dienófilo.[13]
Un dieno especialmente reactivo es el 1-metoxi-3-trimetilsiloxi-buta-1,3-dieno, también conocido como dieno de Danishefsky.[14] Tiene una utilidad sintética particular como medio para proporcionar sistemas de ciclohexenona α, β-insaturados mediante la eliminación del sustituyente 1-metoxi después de la desprotección del enol silil éter. Otros derivados sintéticamente útiles del dieno de Danishefsky incluyen 1,3-alcoxi-1-trimetilsiloxi-1,3-butadienos (dienos de Brassard)[15] y 1-dialquilamino-3-trimetilsiloxi-1,3-butadienos (dienos de Rawal).[16] El aumento de la reactividad de estos y otros dienos similares es el resultado de contribuciones sinérgicas de los grupos de donantes en C1 y C3, elevando el HOMO significativamente por encima del de un dieno monosustituido comparable.[3]

Los dienos inestables (y por lo tanto altamente reactivos), de los cuales quizás los más útiles sintéticamente son los o-quinodimetanos, pueden generarse in situ.[17] Una fuerte fuerza impulsora para la cicloadición [4 + 2] de tales especies es el resultado del establecimiento (o restablecimiento) de la aromaticidad. Los métodos comunes para generar o-quinodimetanos incluyen la pirólisis de benzociclobutenos[10] o la sulfona correspondiente,[3] 1,4-eliminación de silanos ortobencílicos[18] o estannanos,[19][20][21] y la reducción de α , dibromuros α'-orto bencílicos.[22]

Por el contrario, los dienos estables son más bien no reactivos y experimentan reacciones de Diels-Alder solo a temperaturas elevadas: por ejemplo, el naftaleno puede funcionar como un dieno, lo que lleva a aductos solo con dienófilos altamente reactivos, como la N-fenil-maleimida. El antraceno, al ser menos aromático (y por lo tanto más reactivo para las síntesis de Diels-Alder) en su anillo central, puede formar un aducto 9,10 con anhídrido maleico a 80 °C e incluso con acetileno, un dienófilo débil, a 250 °C.[23]
- Ciertos heterociclos aromáticos de cinco miembros, como el furano y el pirrol funcionan como dieno en reacciones de Diels Alder con dienófilos con grupos electroatractores. Se muestra el ejemplo con (E)-3-nitroacrilato de etilo.[24] Los productos de reacción se encuientran como una mezcla de isómeros con preferencia por el isómero endo:
La cicloadición de Bradsher es una variante de una reacción de Diels-Alder en la cual la reacción [4+2] de un dienófilo procede con un azadieno aromático catiónico como el acridizinio o el isoquinolinio..

Esta síntesis fue primero reportada por C. K. Bradsher y T. W. G. Solomons en 1958.[25][26][27]
Mecanismo de reacción
La reacción es un ejemplo de una reacción pericíclica concertada que se clasifica como una cicloadición [4 + 2] térmicamente permitida con el símbolo de Woodward-Hoffmann [π4s + π2s].[10] Se cree que ocurre a través de un solo estado de transición cíclico,[28] sin intermedios generados durante el curso de la reacción. Como tal, la reacción Diels-Alder se rige por consideraciones de simetría orbital: se clasifica como una cicloadición [π4s + π2s], lo que indica que procede a través de la interacción suprafacial / suprafacial de un sistema de electrones 4π (la estructura de dieno) con un 2π sistema de electrones (la estructura dienófila), una interacción que conduce a un estado de transición sin una barrera energética adicional impuesta por la simetría orbital y permite que la reacción de Diels-Alder tenga lugar con relativa facilidad.[29]
Una consideración de los orbitales moleculares fronterizos (FMO) de los reactivos deja en claro por qué esto es así. (La misma conclusión se puede extraer de un diagrama de correlación orbital o de un análisis de Dewar-Zimmerman.) Para la reacción de Diels-Alder de la demanda de electrones "normal" más común, la más importante de las dos interacciones HOMO / LUMO es que entre el electrón dieno rico ψ2 como el orbital molecular ocupado más alto (HOMO) con el dienófilo deficiente en electrones π * como el orbital molecular desocupado más bajo (LUMO). Sin embargo, la brecha de energía HOMO-LUMO es lo suficientemente cercana como para revertir los roles cambiando los efectos electrónicos de los sustituyentes en los dos componentes. En una reacción inversa (inversa) de Diels-Alder con demanda de electrones, los sustituyentes que retiran electrones en el dieno reducen la energía de su orbital ψ3 vacío y los sustituyentes donadores de electrones en el dienófilo aumentan la energía de su orbital π lleno lo suficiente como para que la interacción entre estos dos orbitales se convierten en la interacción orbital estabilizadora más energéticamente significativa. Independientemente de la situación que corresponda, el HOMO y el LUMO de los componentes están en fase y se produce una interacción de enlace, como se puede ver en el siguiente diagrama. Dado que los reactivos están en su estado fundamental, la reacción se inicia térmicamente y no requiere activación por la luz.[29]

La "opinión predominante" [8][30][31][32] es que la mayoría de las reacciones de Diels-Alder proceden a través de un mecanismo concertado; El problema, sin embargo, ha sido ampliamente discutido. A pesar del hecho de que la gran mayoría de las reacciones de Diels-Alder muestran una adición estereoespecífica, sin embargo, de los dos componentes, se ha postulado un intermediario dinámico (y respaldado con evidencia computacional) sobre la base de que la estereoespecificidad observada no descarta un adición de dos pasos que involucra un producto intermedio que se colapsa en el producto más rápido de lo que puede girar para permitir la inversión de la estereoquímica.
Hay una mejora notable de la velocidad cuando ciertas reacciones de Diels-Alder se llevan a cabo en solventes orgánicos polares como dimetilformamida y etilenglicol.[33] e incluso en agua.[34] The reaction of cyclopentadiene and butenone for example is 700 times faster in water relative to 2,2,4-trimethylpentane as solvent.[34] La reacción del ciclopentadieno y la butenona, por ejemplo, es 700 veces más rápida en agua en relación con el 2,2,4-trimetilpentano como disolvente.[35] Se han propuesto varias explicaciones para este efecto, como un aumento en la concentración efectiva debido al empaquetamiento hidrófobo [16] o la estabilización de enlaces de hidrógeno del estado de transición.[36]
La geometría de los componentes dieno y dienófilo define la estereoquímica del producto. Especialmente para las reacciones intermoleculares, la relación posicional y estereoquímica preferida de los subtitulantes de los dos componentes en comparación entre sí se controla mediante efectos electrónicos. Sin embargo, para las reacciones de cicloadición intramoleculares de Diels-Alder, la estabilidad conformacional de la estructura y el estado de transición pueden ser una influencia significativa.
Regioselectividad
La teoría orbital molecular de frontera también se ha utilizado para explicar los patrones de regioselectividad observados en las reacciones de Diels-Alder de sistemas sustituidos. El cálculo de la energía y los coeficientes orbitales de los orbitales frontera de los componentes[37] proporciona una imagen que está de acuerdo con el análisis más directo de los efectos de resonancia de los sustituyentes, como se ilustra a continuación.

En general, la regioselectividad encontrada tanto para la reacción de Diels-Alder normal como para la inversa de la demanda de electrones sigue la regla orto-para, llamada así, porque el producto ciclohexeno tiene sustituyentes en posiciones análogas a las posiciones orto y para de arenos disustituidos. Por ejemplo, en un escenario de demanda normal, un dieno con un grupo donante de electrones (EDG) en C1 tiene su mayor coeficiente HOMO en C4, mientras que el dienófilo con un grupo de extracción de electrones (EWG) en C1 tiene el mayor coeficiente LUMO en C2 El emparejamiento de estos dos coeficientes da el producto "orto" como se ve en el caso 1 en la figura a continuación. Un dieno sustituido en C2 como en el caso 2 a continuación tiene el mayor coeficiente HOMO en C1, dando lugar al producto "para". Análisis similares para los escenarios de demanda inversa correspondientes dan lugar a productos análogos, como se ve en los casos 3 y 4. Examinando las formas mesoméricas canónicas anteriores, es fácil verificar que estos resultados estén de acuerdo con las expectativas basadas en la consideración de la densidad electrónica y polarización.

En general, con respecto al par HOMO-LUMO energéticamente más compatible, maximizar la energía de interacción formando enlaces entre centros con los coeficientes orbitales fronterizos más grandes permite la predicción del regioisómero principal que resultará de una combinación dada de dieno-dienófilo . En un tratamiento más sofisticado, tres tipos de sustituyentes (extracción de Z: disminución de HOMO y LUMO (CF3, NO2, CN, C (O) CH3), donación de X: aumento de HOMO y LUMO (Me, OMe, NMe2), conjugación de C: Se consideran el aumento de HOMO y el descenso de LUMO (Ph, vinilo)), lo que da como resultado un total de 18 combinaciones posibles. La maximización de la interacción orbital predice correctamente el producto en todos los casos para los que hay datos experimentales disponibles. Por ejemplo, en combinaciones poco comunes que involucran grupos X tanto en dieno como en dienófilo, se puede favorecer un patrón de sustitución 1,3, un resultado que no se explica por un argumento de estructura de resonancia simplista.[38] Sin embargo, los casos en los que el argumento de resonancia y la coincidencia de los coeficientes orbitales más grandes no están de acuerdo son raros.
Estereoselectividad y estereospecificidad
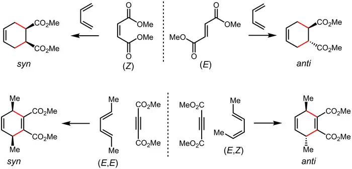
Las reacciones de Diels-Alder, al ser cicloadiciones concertadas, son estereoespecíficas. La información estereoquímica del dieno y el dienófilo se retiene en el producto, por ser una adición syn con respecto a cada componente. Por ejemplo, los sustituyentes con una relación cis (trans, resp.) en el doble enlace del dienófilo, dan lugar a sustituyentes que son cis (trans, resp.) en esos mismos carbonos con respecto al anillo de ciclohexeno. Del mismo modo, los dienos cis, cis- y trans,trans- disustituidos dan sustituyentes cis en estos carbonos del producto, mientras que los dienos cis,trans- disustituidos dan sustituyentes trans:[39][40]

Se muestran a continuación los estados de transición endo y exo para el ciclopentadieno que se agrega a la acroleína; Proporción de producto endo / exo para este y otros dienófilos:

Las reacciones de Diels-Alder en las que se generan estereocentros adyacentes en los dos extremos de los enlaces simples recién formados implican dos posibles resultados estereoquímicos diferentes. Esta es una situación estereoselectiva basada en la orientación relativa de los dos componentes separados cuando reaccionan entre sí. En el contexto de la reacción de Diels-Alder, el estado de transición en el que el sustituyente más significativo (un grupo de extracción y / o conjugación de electrones) en el dienófilo se orienta hacia el sistema dieno π y se desliza debajo de él a medida que la reacción tiene lugar conocido como el estado de transición endo. En el estado de transición exo alternativo, está orientado lejos de él. (Hay un uso más general de los términos endo y exo en la nomenclatura estereoquímica).
En los casos en que el dienófilo tiene un único sustituyente de extracción / conjugación de electrones, o dos sustituyentes de extracción / conjugación de electrones cis entre sí, a menudo se puede predecir el resultado. En estos escenarios de "demanda normal" de Diels-Alder, el estado de transición endo suele preferirse, a pesar de estar a menudo más estéricamente congestionado. Esta preferencia se conoce como la regla endo de Alder. Como declaró originalmente Alder, el estado de transición que se prefiere es el que tiene una "acumulación máxima de dobles enlaces". La selectividad endo es típicamente mayor para los dienófilos rígidos como el anhídrido maleico y la benzoquinona; para otros, como los acrilatos y los crotonatos, la selectividad no es muy pronunciada.[41]
La regla endo se aplica cuando los grupos electroatractores en el dienófilo son todos de un lado. La explicación más ampliamente aceptada para el origen de este efecto es una interacción favorable entre los sistemas π del dienófilo y el dieno, una interacción descrita como un efecto orbital secundario, aunque las atracciones dipolar y van der Waals también pueden desempeñar un papel, y el solvente a veces puede hacer una diferencia sustancial en la selectividad.[10][42][43] La explicación de superposición orbital secundaria fue propuesta por primera vez por Woodward y Hoffmann.[44] En esta explicación, los orbitales asociados con el grupo en conjugación con el doble enlace dienófilo se superponen con los orbitales interiores del dieno, una situación que es posible solo para el estado de transición endo. Aunque la explicación original solo invocaba el orbital en el átomo α al doble enlace dienófilo, Salem y Houk han propuesto posteriormente que los orbitales en los carbonos α y β participen cuando la geometría molecular lo permita.[45]

A menudo, al igual que con los dienos altamente sustituidos, los dienófilos muy voluminosos o las reacciones reversibles (como en el caso del furano como dieno), los efectos estéricos pueden anular la selectividad endo normal a favor del isómero exo.
Existen diversos métodos para inducir asimétyricamente la reacción de Diels–Alder, tales como el uso de auxiliares quirales, catálisis con un ácido de Lewis quiral,[46] y catalizadores orgánicos.[10] oxazolidinonas de Evans,[47] oxazaborolidinas,[48][49][50] bis-oxazolin–cobre quelantes,[51] catalizadores imidazolínicos,[52] entre otras.
Reacción de Diels-Alder intramolecular
Una cicloadición intramolecular de Diels-Alder es aquella en la que el dieno y el dienófilo son ambos parte de la misma molécula. La reacción conduce a la formación de la misma estructura de tipo ciclohexeno como es habitual en una reacción de Diels-Alder, pero como parte de un sistema de anillo cíclico fusionado o con puentes más complejos. Una reacción intramolecular de Diels-Alder fue uno de los pasos en una síntesis total de ácido giberélico.[53][54]

Reacción reversa
La reacción retro de Diels-Alder (rDA), como su nombre lo indica, es el reverso de la reacción de cicloadición de Diels-Alder.

Se realizó un estudio cinético de la reacción rDA prototípica, la conversión de ciclohexeno a 1,3-butadieno y etileno en el rango de temperatura de 541–629 °C.[55] Algunas observaciones tempranas de las reacciones Rda se hicieron en 1906 por Albrecht, quien informó que los aductos DA de ciclopentadieno con benzoquinona se disocian en sus puntos de fusión, 2 y en 1929 por Diels y Alder, quienes informaron la disociación de un aducto de anhídrido maleico-furano en su punto de fusión.3 Alder usó la reacción como una prueba para diferenciar entre los aductos de éster acetilendicarboxílico de ciclopentadieno y de ciclohexadieno; 4 el calentamiento del último aducto elimina el etileno, mientras que el calentamiento del primero produce solo el dieno de partida y el dienófilo (la regla de Alder-Rickert). Quizás el uso más temprano de la reacción rDA en un modo sintético fue en la preparación de cloruro de acetilendicarbonilo, en el que se usó un aducto de antraceno como un grupo protector de acetileno removible.
Debido a los valores negativos de ΔH ° y ΔS ° para una reacción típica de Diels-Alder, el reverso microscópico de las reacciones de Diels-Alder se vuelve favorable a altas temperaturas, aunque esto es de importancia sintética para un rango limitado de aductos de Diels-Alder , generalmente con algunas características estructurales especiales; esta reacción inversa se conoce como la reacción retro-Diels-Alder (rDA).[56]
Se ha postulado que, a altas temperaturas, la isomerización de aductos endo cinéticos a productos exo más termodinámicamente estables se produjo a través de una secuencia rDA / DA. Sin embargo, dicha isomerización puede tener lugar a través de un proceso (Cope) completamente intramolecular, [3,3] -sigmatrópico. La reacción a continuación proporcionó evidencia de esto último: no se obtuvo ninguno de los isómeros "cabeza a cabeza", lo que sugiere un proceso de isomerización completamente intramolecular.[57]
(2)

Algunas reacciones rDA ocurren espontáneamente a temperatura ambiente debido a la alta reactividad o volatilidad del dienófilo emitido. Sin embargo, la mayoría requiere una activación térmica o química adicional. A continuación se describen las tendencias relativas de una variedad de dienos y dienófilos a través de rDA:
- Dieno: furano, pirrol > benceno > naftaleno > fulveno > ciclopentadieno > antraceno > butadieno
- Dienófilo: N2 > CO2 > naftaleno > benceno, nitrilos > metacrilato > maleimidas > ciclopentadieno, iminas, alquenos > alquinos
Debido a que la reacción Diels-Alder intercambia dos enlaces π por dos enlaces σ, se favorece termodinámicamente intrínsecamente en la dirección hacia adelante. Sin embargo, se conocen una variedad de estrategias para superar este sesgo termodinámico inherente. La complejación de los ácidos de Lewis a la funcionalidad básica en el material de partida puede inducir la reacción retro-Diels-Alder, incluso en los casos en que la reacción directa es intramolecular.[58]
(3)

La mediación base puede usarse para inducir rDA en los casos en que los productos separados son menos básicos que el material de partida. Esta estrategia se ha utilizado, por ejemplo, para generar aniones ciclopentadienilo aromáticos a partir de aductos de ciclopentadieno.[59] Strategically placed electron-withdrawing groups in the starting material can render this process essentially irreversible.
(4)

Si el objetivo es el aislamiento o la reacción de un eluyente dieno o dienófilo, se puede usar una de dos estrategias. La pirólisis instantánea con vacío de los aductos Diels-Alder sintetizados por medios independientes puede proporcionar dienófilos extremadamente reactivos y de corta duración (que luego pueden ser capturados por un dieno único).[60] Alternativamente, la reacción de rDA puede llevarse a cabo en presencia de un eliminador. El carroñero reacciona con el dieno o (más típicamente) el dienófilo para conducir el equilibrio del proceso retro-DA hacia los productos. Los cianoacrilatos altamente reactivos pueden aislarse de aductos de Diels-Alder (sintetizados independientemente) con el uso de un eliminador.[61]
(5)

Variaciones
Las reacciones Deshidro-Diels-Alder (DDA) se describen como cicloadiciones de un 1,3-diino y un alquino. Estas reacciones generan un bencino que puede dar lugar a diversos derivados del benceno.[62]

Los ácidos de Lewis tales como ZnCl2, BF3, SnCl4, AlCl3 y MeAlCl2 pueden catalizar reacciones de Diels-Alder tanto normales como reversas. El aumento en la velocidad es a menudo dramático, y la regioselectividad hacia productos orto o similares a menudo se mejora, como se muestra en la reacción entre el isopreno y el acrilato de metilo.[63]


Se cree que la reacción catalizada de Diels-Alder es concertada. Sin embargo, un estudio computacional a nivel B3LYP / 6-31G (d) ha demostrado que el estado de transición de la reacción de Diels-Alder catalizada por BF 3 entre propenal y 1,3-butadieno es más asíncrona que la de la reacción térmica - enlace más alejado del grupo carbonilo se forma por delante del otro enlace.[64]
La reacción puede tener lugar incluso si algunos de los átomos en el anillo formado no son de carbono. En este caso, la reacción se denomina hetero-Diels-Alder. Un ejemplo es la reacción del fenantreno con dioxígeno singulete:[65][66]
Una reacción oxo-Diels-Alder (también llamada reacción oxa-Diels-Alder) es una reacción orgánica y una variación de la reacción Diels-Alder en la que un dieno adecuado reacciona con un aldehído (dienófilo) para formar un anillo dihidropirano. Esta reacción es de cierta importancia para la química orgánica sintética.
La reacción oxo-DA se informó por primera vez en 1949[67] usando un metilpentadieno y formaldehído como reactivos.
Las reacciones asimétricas de oxo-DA (incluidas las reacciones catalíticas) son bien conocidas.[68] Muchas estrategias se basan en coordinar un ácido de Lewis quiral con el grupo carbonilo.
En la reacción aza-Diels-Alder se convierten las iminas (dienófilo) y los dienos en tetrahidropiridinas. Esta reacción orgánica es una modificación de la reacción de Diels-Alder. El átomo de nitrógeno puede ser parte del dieno o del dienófilo.

La imina a menudo se genera in situ a partir de una amina y formaldehído. Un ejemplo es la reacción del ciclopentadieno con bencilamina a un azanorborneno.[69]

En la reacción enantioselectiva Diels – Alder (DA) de una anilina, formaldehído y una ciclohexenona catalizada por (S) -prolina, incluso el dieno está enmascarado.[70]

El ciclo catalítico comienza con las reacciones de la amina aromática con formaldehído a la imina y la reacción de la cetona con prolina al dieno. El segundo paso, una ciclación endo trigonométrica, se conduce a uno de los dos enantiómeros posibles (99% ee) porque el átomo de nitrógeno imina forma un enlace de hidrógeno con el grupo de prolina del ácido carboxílico en la cara del Si. La hidrólisis del complejo final libera el producto y regenera el catalizador.

En 2014, Doyle y sus colegas informaron una reacción de cicloadición catalizada por Zn (OTf) 2 [4 + 2] entre dos iminas para formar productos de tetrahidropirimidina.[71]
Aplicaciones en síntesis
El anhídrido maleico es un sustrato clásico para la reacción de Diels-Alder.[72] Fue utilizado para el trabajo en 1928, sobre la reacción entre el anhídrido maleico y el 1,3-butadieno. Es a través de esta reacción que el anhídrido maleico se utilizó para la síntesis de muchos pesticidas y productos farmacéuticos.
La primera aplicación de la reacción de Diels-Alder en la síntesis total fue ilustrada por las síntesis de R. B. Woodward de los corticoesteroides y el colesterol.[73] La reacción del butadieno con la quinona a continuación proporcionó a los anillos C y D del esqueleto esteroideo la regioquímica deseada.

E. J. Corey, en su síntesis original de 1969 de las prostaglandinas F2α y E2,[74] utilizó una reacción de Diels-Alder al principio de la síntesis para establecer la estereoquímica relativa de tres estereocentros contiguos en el núcleo de prostaglandina ciclopentano. Para mitigar la isomerización del ciclopentadieno sustituido a través del desplazamiento de 1,5-hidruros, se encontró necesario mantener este intermedio por debajo de 0 °C hasta que pudiera tener lugar el Diels-Alder. Por lo tanto, se requería la activación por medio de tetrafluoroborato cúprico ácido de Lewis para permitir que tuviera lugar la reacción. El uso de 2-cloroacrilonitrilo como dienofilo es un equivalente sintético viable para la cetena,[8] una estructura que generalmente sufre una cicloadición [2 + 2] para dar un dímero de ciclobutanona en lugar de participar en reacciones de Diels-Alder con 1,3-dienos .[75][76] La hidrólisis de la mezcla epimérica de aductos de cloronitrilo reveló la bicicloheptanona deseada con alto rendimiento.

Samuel J. Danishefsky utilizó una reacción de Diels-Alder para sintetizar prefenato disódico,[77] un precursor biosintético de los aminoácidos fenilalanina y tirosina, en 1979. Esta secuencia es notable como una de las primeras en presentar 1-metoxi-3-siloxibutadieno , el llamado dieno Danishefsky, en síntesis total. Su utilidad es evidente a continuación, es decir, el suministro inmediato de sistemas de ciclohexenona α, β-insaturados.

En su síntesis de reserpina en 1980,[78] Paul Wender y sus compañeros de trabajo utilizaron una reacción de Diels-Alder para establecer el marco de cis-decalina de los anillos D y E del producto natural. El Diels-Alder inicial entre el ácido 2-acetoxiacrílico y el 1,2-dihidropiridin-1-carboxilato que se muestra a continuación coloca al grupo carboxilo recién instalado en una posición para reorganizar exclusivamente los anillos fusionados en cis después de la conversión al isoquinuclideno que se muestra a continuación. La fusión cis permitió el establecimiento de la estereoquímica en C17 y C18: primero por escisión del grupo acetato en C18 para dar una cetona que pueda modular la estereoquímica del grupo metoxi C17, y luego por reducción de la cetona en C18 de Exo cara para lograr la estereoquímica del producto final.

En la síntesis de reserpina de Stephen F. Martin,[79] los anillos D y E fusionados en cis también se formaron por una reacción de Diels-Alder. Diels intramoleculares: el aliso de la piranona a continuación con la posterior extrusión de dióxido de carbono a través de un retro [4 + 2] proporcionó la lactama bicíclica. La epoxidación de la cara α menos impedida, seguida de la apertura del epóxido en la C18 menos impedida, proporcionó la estereoquímica deseada en estas posiciones, mientras que la fusión cis se logró con hidrogenación, nuevamente procediendo principalmente de la cara menos impedida.

Una piranona fue utilizada de manera similar como el dienófilo por el grupo de K. C. Nicolaou en la síntesis total de taxol. [60] La reacción intermolecular de la hidroxipirona y el éster α, β-insaturado que se muestra a continuación sufrió un bajo rendimiento y regioselectividad; sin embargo, cuando se dirige mediante ácido fenilborónico [61], el aducto deseado se puede obtener con un rendimiento del 61% después de la escisión del boronato con 2,2-dimetil-1,3-propanodiol. La estereoespecificidad de la reacción Diels-Alder en este caso permitió la definición de cuatro estereocentros que se llevaron al producto final.

Una reacción de Diels-Alder fue el paso clave en la síntesis de Amos Smith de (-) - furaquinocina C.[80] La diona 1 se convirtió en el dieno requerido por enolización utilizando dos sililaciones sucesivas con TMSCl. La cicloadición Diels-Alder con bromoquinona fue seguida por una deshidrohalogenación espontánea para volver a formar el anillo aromático. El dieno en este caso es notable como un raro ejemplo de un derivado cíclico del dieno de Danishefsky.

Viresh Rawal y Sergey Kozmin, en su síntesis de tabersonina de 1998,[81] utilizaron un Diels-Alder para establecer la estereoquímica relativa cis del núcleo alcaloide. La conversión del cis-aldehído a su correspondiente alqueno mediante olefinación de Wittig y la posterior metátesis de cierre del anillo con un catalizador Schrock dio el segundo anillo del núcleo alcaloide. El dieno en este caso es notable como un ejemplo de 1-amino-3-siloxibutadieno, también conocido como dieno Rawal.

En 1988, William Okamura y Richard Gibbs informaron una síntesis enantioselectiva de (+) - esterpureno[82] que presentó una notable reacción intramolecular Diels-Alder de un aleno. La reordenación sigmatropica [2,3] del grupo tiofenilo para dar el sulfóxido como se indica a continuación se realizó enantioespecíficamente.

La síntesis de Andrew Myers en 2005 de (-) - tetraciclina[83] logró el núcleo tetracíclico lineal del antibiótico con una reacción de Diels-Alder. Iniciado térmicamente, la apertura conrotatoria del benzociclobuteno generó el o-quinodimetano, que reaccionó intermolecularmente para dar el esqueleto de tetraciclina; El diastereómero mostrado se cristalizó en metanol después de la purificación por cromatografía en columna. Los autores señalan que el grupo hidroxilo libre del dienófilo fue parte integral del éxito de la reacción, ya que las variantes protegidas con hidroxilo no reaccionaron bajo varias condiciones de reacción diferentes.

Los arinos pueden experimentar reacciones de cicloadición [4+2]. A continuación se muestra el mecanismo concertado de la reacción de Diels-Alder entre bencino y furano. Aun así, posiblemente muchas cicloadiciones [4+2] podrían tener lugar a través un mecanismo por etapas.

Un ejemplo clásico es el de la síntesis del 1,2,3,4-tetrafenilnaftaleno.[84] El tetrabromobenceno puede reaccionar con n-butillitio y furano para formar tetrahidroantraceno.[85] La mezcla des esteroisómeros obtenida se puede separar por su diferente solubilidad en metanol.

Las cicloadiciones [4+2] de arinos se utilizan comúnmente en la síntesis de productos naturales. La limitación principal de esta estrategia es la utilización de dienos con restricciones, tales como el furano o el ciclopentadieno.[86] En 2009 Buszek y colaboradores sintetizaron el herbindole A mediante el uso de una cicloadición [4+2].[87] Así la 6,7-indolina experimenta una cicloadición [4+2] con el ciclopentadieno para obtener un producto tetracíclio complejo.

Reacciones de Diels Alder biológicas
La enzima macrofomato sintasa convierte el 5-acetil-4-metoxi-6-metil-2-pirona en ácido 4-acetil-3-metoxi-5-metil-benzoico (ácido macrofómico) a través de una inusual reacción de Diels-Alder intermolecular (Esquema 1): En el mecanismo para la biosíntesis de ácido macrofómico (Esquema 3), el oxaloacetato se descarboxila para formar el complejo de enolato con Mg+2. A continuación, el complejo de enolato se agrega a la pirona a través de una reacción concertada de Diels-Alder para formar un intermedio bicíclico (8). Luego, al igual que en la secuencia de Michael-aldol, el intermedio bicíclico se descarboxila y deshidrata para formar ácido macrofómico (9).[88] Se cree que esta vía es el mecanismo real; sin embargo, según los cálculos de QM / MM, parece que la secuencia de Michael-aldol es más favorecida enérgicamente. También ha sido difícil aislar los intermedios clave para cualquiera de las vías propuestas.

Se ha demostrado la formación in vitro de una lactona tricétida utilizando una proteína genéticamente modificada derivada de la 6-desoxieritronólido B sintasa. Witter y Vederas observaron que "la estereoquímica de la molécula respalda la idea intrigante de que puede ocurrir una reacción de Diels-Alder catalizada por enzimas durante el ensamblaje de la cadena de policétidos. Por lo tanto, parece que las reacciones biológicas de Diels-Alder pueden desencadenarse por la generación de sistemas reactivos de trieno en una superficie enzimática."[89]

Luego se postula la formación del monómero de sesquiterpeno guaianólido Absinthin [D] a partir de hidroxilación y reordenamiento de doble enlace (8,9) para preceder directamente a la dimerización a absintina[E] a través de una reacción de Diels-Alder natural,[90] que probablemente se ve facilitada por la sintasa asociada a pesar de que la reacción en sí puede ocurrir con buenos rendimientos de forma espontánea, [3] aunque más lenta que la biosíntesis típica de productos naturales.

Referencias
- Kloetzel, M. C. (1948). «The Diels–Alder Reaction with Maleic Anhydride». Organic Reactions 4. pp. 1-59. ISBN 978-0471264187. doi:10.1002/0471264180.or004.01.
- Holmes, H. L. (1948). «The Diels-Alder Reaction Ethylenic and Acetylenic Dienophiles». Organic Reactions 4. pp. 60-173. ISBN 978-0471264187. doi:10.1002/0471264180.or004.02.
- Nicolaou, K. C.; Snyder, S. A.; Montagnon, T.; Vassilikogiannakis, G. (2002). «The Diels-Alder Reaction in Total Synthesis». Angewandte Chemie International Edition 41 (10): 1668-1698. doi:10.1002/1521-3773(20020517)41:10<1668::AID-ANIE1668>3.0.CO;2-Z.
- Atilla Tasdelen, Mehmet (2011). «Diels–Alder "click" reactions: recent applications in polymer and material science». Polymer Chemistry (en inglés) 2 (10): 2133-2145. doi:10.1039/C1PY00041A.
-
- Diels, O.; Alder, K. (1928). «Synthesen in der hydroaromatischen Reihe, I». Justus Liebigs Annalen der Chemie 460: 98-122. doi:10.1002/jlac.19284600106.
- Diels, O.; Alder, K. (1929). «Synthesen in der hydroaromatischen Reihe, II». Berichte der Deutschen Chemischen Gesellschaft 62 (3): 554-562. doi:10.1002/cber.19290620318.
- Diels, O.; Alder, K. (1929). «Synthesen in der hydroaromatischen Reihe, III». Justus Liebigs Annalen der Chemie 470: 62-103. doi:10.1002/jlac.19294700106.
- Diels, O.; Alder, K. (1929). «Synthesen in der hydroaromatischen Reihe, IV». Berichte der Deutschen Chemischen Gesellschaft 62 (8): 2081-2087. doi:10.1002/cber.19290620829.
- Diels, O.; Alder, K. (1929). «Synthesen in der hydroaromatischen Reihe, V». Berichte der Deutschen Chemischen Gesellschaft 62 (8): 2087-2090. doi:10.1002/cber.19290620830.
- Diels, O.; Alder, K. (1929). «Synthesen in der hydroaromatischen Reihe, VI». Berichte der Deutschen Chemischen Gesellschaft 62 (8): 2337-2372. doi:10.1002/cber.19290620872.
- Diels, O.; Alder, K. (1930). «Synthesen in der hydroaromatischen Reihe, VII». Justus Liebigs Annalen der Chemie 478: 137-154. doi:10.1002/jlac.19304780109.
- Diels, O.; Alder, K. (1931). «Synthesen in der hydroaromatischen Reihe, VIII». Justus Liebigs Annalen der Chemie 486: 191-202. doi:10.1002/jlac.19314860110.
- Diels, O.; Alder, K. (1931). «Synthesen in der hydroaromatischen Reihe, IX». Justus Liebigs Annalen der Chemie 486: 202-210. doi:10.1002/jlac.19314860111.
- Diels, O.; Alder, K. (1931). «Synthesen in der hydroaromatischen Reihe, X». Justus Liebigs Annalen der Chemie 486: 211-225. doi:10.1002/jlac.19314860112.
- Diels, O.; Alder, K. (1931). «Synthesen in der hydroaromatischen Reihe, XI». Justus Liebigs Annalen der Chemie 490: 236-242. doi:10.1002/jlac.19314900109.
- Diels, O.; Alder, K. (1931). «Synthesen in der hydroaromatischen Reihe, XII». Justus Liebigs Annalen der Chemie 490: 243-257. doi:10.1002/jlac.19314900110.
- Diels, O.; Alder, K. (1931). «Synthesen in der hydroaromatischen Reihe, XIII». Justus Liebigs Annalen der Chemie 490: 257-266. doi:10.1002/jlac.19314900111.
- Diels, O.; Alder, K. (1931). «Synthesen in der hydroaromatischen Reihe, XIV». Justus Liebigs Annalen der Chemie 490: 267-276. doi:10.1002/jlac.19314900112.
- Diels, O.; Alder, K. (1931). «Synthesen in der hydroaromatischen Reihe, XV». Justus Liebigs Annalen der Chemie 490: 277-294. doi:10.1002/jlac.19314900113.
- Diels, O.; Alder, K. (1932). «Synthesen in der hydroaromatischen Reihe, XVI». Justus Liebigs Annalen der Chemie 498: 1-15. doi:10.1002/jlac.19324980102.
- Diels, O.; Alder, K. (1932). «Synthesen in der hydroaromatischen Reihe, XVII». Justus Liebigs Annalen der Chemie 498: 16-49. doi:10.1002/jlac.19324980103.
- Diels, O.; Alder, K. (1933). «Synthesen in der hydroaromatischen Reihe, XVIII». Justus Liebigs Annalen der Chemie 505: 103-150. doi:10.1002/jlac.19335050109.
- Diels, O.; Alder, K. (1934). «Synthesen in der hydroaromatischen Reihe, XIX». Justus Liebigs Annalen der Chemie 510: 87-128. doi:10.1002/jlac.19345100106.
- Diels, O.; Reese, J. (1934). «Synthesen in der hydroaromatischen Reihe, XX». Justus Liebigs Annalen der Chemie 511: 168-182. doi:10.1002/jlac.19345110114.
- Diels, O.; Meyer, R. (1934). «Synthesen in der hydroaromatischen Reihe, XXI». Justus Liebigs Annalen der Chemie 513: 129-145. doi:10.1002/jlac.19345130108.
- Diels, O.; Friedrichsen, W. (1934). «Synthesen in der hydroaromatischen Reihe, XXII». Justus Liebigs Annalen der Chemie 513: 145-155. doi:10.1002/jlac.19345130109.
- Diels, O.; Möller, F. (1935). «Synthesen in der hydroaromatischen Reihe, XXIII». Justus Liebigs Annalen der Chemie 516: 45-61. doi:10.1002/jlac.19355160104.
- Diels, O.; Kech, H. (1935). «Synthesen in der hydroaromatischen Reihe, XXIV». Justus Liebigs Annalen der Chemie 519: 140-146. doi:10.1002/jlac.19355190112.
- Diels, O.; Reese, J. (1935). «Synthesen in der hydroaromatischen Reihe, XXV». Justus Liebigs Annalen der Chemie 519: 147-157. doi:10.1002/jlac.19355190113.
- Diels, O.; Harms, J. (1935). «Synthesen in der hydroaromatischen Reihe, XXVI». Justus Liebigs Annalen der Chemie 525: 73-94. doi:10.1002/jlac.19365250107.
- Diels, O.; Schrum, H. (1937). «Synthesen in der hydroaromatischen Reihe, XXVII». Justus Liebigs Annalen der Chemie 530: 68-86. doi:10.1002/jlac.19375300106.
- Diels, O.; Pistor, H. (1937). «Synthesen in der hydroaromatischen Reihe, XXVIII». Justus Liebigs Annalen der Chemie 530: 87-98. doi:10.1002/jlac.19375300107.
- «The Nobel Prize in Chemistry 1950». The Nobel Foundation. Consultado el 19 de febrero de 2016.
- John McMurry, (2008) "Química orgánica" págs 493,497
- Carey, Part A., p. 839
- Ranganathan, S.; Ranganathan, D.; Mehrotra, A. K. (1977). «Ketene Equivalents». Synthesis 1977 (5): 289-296. doi:10.1055/s-1977-24362.
- Carey, Part B., pp. 474–526
- Carey, Part A, p. 149
- Backer, H. J. (1939). «Le 2,3-Ditertiobutylbutadiène». Recueil des Travaux Chimiques des Pays-Bas 58 (7): 643-661. doi:10.1002/recl.19390580712.
- Craig, D.; Shipman, J. J.; Fowler, R. B. (1961). «The Rate of Reaction of Maleic Anhydride with 1,3-Dienes as Related to Diene Conformation». Journal of the American Chemical Society 83 (13): 2885-2891. doi:10.1021/ja01474a023.
- Danishefsky, S.; Kitahara, T. (1974). «Useful diene for the Diels–Alder reaction». Journal of the American Chemical Society 96 (25): 7807-7808. doi:10.1021/ja00832a031.
- Savard, J.; Brassard, P. (1979). «Regiospecific syntheses of quinones using vinylketene acetals derived from unsaturated esters». Tetrahedron Letters 20 (51): 4911-4914. doi:10.1016/S0040-4039(01)86747-2.
- Kozmin, S. A.; Rawal, V. H. (1997). «Preparation and Diels−Alder Reactivity of 1-Amino-3-siloxy-1,3-butadienes». Journal of Organic Chemistry 62 (16): 5252-5253. doi:10.1021/jo970438q.
- Klundt, I. L. (1970). «Benzocyclobutene and its derivatives». Chemical Reviews 70 (4): 471-487. doi:10.1021/cr60266a002.
- Ito, Y.; Nakatsuka, M.; Saegusa, T. (1982). «Syntheses of polycyclic ring systems based on the new generation of o-quinodimethanes». Journal of the American Chemical Society 104 (26): 7609-7622. doi:10.1021/ja00390a036.
- Sano, H.; Ohtsuka, H.; Migita, T. (1988). «A convenient method for the generation of o-quinodimethanes by proton induced 1,4-elimination of o-(1-hydroxyalkyl)benzyltributylstannanes». Journal of the American Chemical Society 110 (6): 2014-2015. doi:10.1021/ja00214a083.
- Soon, H. W. (1993). «A novel method for the generation of o-quinodimethane by selenium-induced fragmentation of o-vinyl benzyltributylstannane». Tetrahedron Letters 34 (47): 7587-7590. doi:10.1016/S0040-4039(00)60407-0.
- Soon, H. W. (1994). «Lewis acid-promoted generation of α-oxy-o-quinodimethanes and cycloaddition reactions». Tetrahedron Letters 35 (23): 3975-3978. doi:10.1016/S0040-4039(00)76717-7.
- Rubottom, G. M.; Way, J. E. (1984). «An Improved Method for the Preparation of o-Quinodimethanes». Synthetic Communications 14 (6): 507-514. doi:10.1080/00397918408059572.
- Margareta Avram (1983). Chimie organica p. 318-323. Editura Academiei Republicii Socialiste România
- Masesane, I.; Batsanov, A.; Howard, J.; Modal, R.; Steel, P. (2006). «The oxanorbornene approach to 3-hydroxy, 3,4-dihydroxy and 3,4,5-trihydroxy derivatives of 2-aminocyclohexanecarboxylic acid». Beilstein Journal of Organic Chemistry 2 (9): 9. PMC 1524792. PMID 16674802. doi:10.1186/1860-5397-2-9.
- C. K. Bradsher, T. W. G. Solomons (1958). «Acridizinium Ion Chemistry. II.1The Diels-Alder Reaction». J. Am. Chem. Soc. 80 (4): 933. doi:10.1021/ja01537a045.
- Merck Index, 14th Ed.
- C. K. Bradsher, J. A. Stone (1968). «Nature of the addition of dienophiles to the acridizinium ion». Journal of Organic Chemistry 33 (2): 519. doi:10.1021/jo01266a009.
- Dewar, M. J.; Olivella, S.; Stewart, J. J. (1986). «Mechanism of the Diels-Alder reaction: Reactions of butadiene with ethylene and cyanoethylenes». Journal of the American Chemical Society 108 (19): 5771-5779. PMID 22175326. doi:10.1021/ja00279a018.
- Carey, Part A., pp. 836–50
- Gajewski, J. J.; Peterson, K. B.; Kagel, J. R. (1987). «Transition-state structure variation in the Diels–Alder reaction from secondary deuterium kinetic isotope effects: The reaction of a nearly symmetrical diene and dienophile is nearly synchronous». Journal of the American Chemical Society 109 (18): 5545-5546. doi:10.1021/ja00252a052.
- Houk, K. N.; Lin, Y. T.; Brown, F. K. (1986). «Evidence for the concerted mechanism of the Diels–Alder reaction of butadiene with ethylene». Journal of the American Chemical Society 108 (3): 554-556. PMID 22175504. doi:10.1021/ja00263a059.
- Goldstein, E.; Beno, B.; Houk, K. N. (1996). «Density Functional Theory Prediction of the Relative Energies and Isotope Effects for the Concerted and Stepwise Mechanisms of the Diels−Alder Reaction of Butadiene and Ethylene». Journal of the American Chemical Society 118 (25): 6036-6043. doi:10.1021/ja9601494.
- Breslow, R.; Guo, T. (1988). «Diels-Alder reactions in nonaqueous polar solvents. Kinetic effects of chaotropic and antichaotropic agents and of β-cyclodextrin». Journal of the American Chemical Society 110 (17): 5613-5617. doi:10.1021/ja00225a003.
- Rideout, D. C.; Breslow, R. (1980). «Hydrophobic acceleration of Diels-Alder reactions». Journal of the American Chemical Society 102 (26): 7816-7817. doi:10.1021/ja00546a048.
- Breslow, R.; Rizzo, C. J. (1991). «Chaotropic salt effects in a hydrophobically accelerated Diels–Alder reaction». Journal of the American Chemical Society 113 (11): 4340-4341. doi:10.1021/ja00011a052.
- Blokzijl, Wilfried; Engberts, Jan B. F. N. (1992). «Initial-State and Transition-State Effects on Diels–Alder Reactions in Water and Mixed Aqueous Solvents». Journal of the American Chemical Society 114 (13): 5440-5442. doi:10.1021/ja00039a074.
- Ashby, E. C.; Chao, L.-C.; Neumann, H. M. (1973). «Organometallic reaction mechanisms. XII. Mechanism of methylmagnesium bromide addition to benzonitrile». Journal of the American Chemical Society 95 (15): 4896-4904. doi:10.1021/ja00796a022.
- Fleming, I. (1990). Frontier Orbital and Organic Chemical Reactions. Chichester, UK: Wiley. ISBN 978-0471018193.
- Kirmse, W.; Mönch, D. (1991). «Umlagerungen von 1,4,4- und 2,2,5-Trimethylbicyclo[3.2.1]oct-6-yl-Kationen». Chemische Berichte 124 (1): 237-240. doi:10.1002/cber.19911240136.
- Bérubé, G.; DesLongchamps, P. (1987). «Stéréosélection acyclique-1,5: Synthèse de la chaîne latérale optiquement active de la vitamine E». Bulletin de la Société Chimique de France 1: 103-115.
- Houk, K. N.; Luskus, L. J. (1971). «Influence of steric interactions on endo stereoselectivity». Journal of the American Chemical Society 93 (18): 4606-4607. doi:10.1021/ja00747a052.
- Kobuke, Y.; Sugimoto, T.; Furukawa, J.; Fueno, T. (1972). «Role of attractive interactions in endo–exo stereoselectivities of Diels–Alder reactions». Journal of the American Chemical Society 94 (10): 3633-3635. doi:10.1021/ja00765a066.
- Williamson, K. L.; Hsu, Y.-F. L. (1970). «Stereochemistry of the Diels–Alder reaction. II. Lewis acid catalysis of syn-anti isomerism». Journal of the American Chemical Society 92 (25): 7385-7389. doi:10.1021/ja00728a022.
- 1917-1979, Woodward, R. B. (Robert Burns) (22 de octubre de 2013). The conservation of orbital symmetry. Hoffmann, R. Weinheim. ISBN 9781483282046. OCLC 915343522.
- Wannere, Chaitanya S.; Paul, Ankan; Herges, Rainer; Houk, K. N.; Schaefer, Henry F.; Schleyer, Paul Von Ragué (2007). «The existence of secondary orbital interactions». Journal of Computational Chemistry (en inglés) 28 (1): 344-361. ISSN 1096-987X. PMID 17109435. doi:10.1002/jcc.20532.
- White, James D.; Shaw, Subrata (2011). «cis-2,5-Diaminobicyclo[2.2.2]octane, a New Scaffold for Asymmetric Catalysis via Salen−Metal Complexes». Org. Lett. 13 (9): 2488-91. PMID 21462988. doi:10.1021/ol2007378.
- Evans, D. A.; Chapman, K. T.; Bisaha, J. (1988). «Asymmetric Diels–Alder cycloaddition reactions with chiral α,β-unsaturated N-acyloxazolidinones». Journal of the American Chemical Society 110 (4): 1238-1256. doi:10.1021/ja00212a037.
- Corey, E. J.; Loh, T. P. (1991). «First application of attractive intramolecular interactions to the design of chiral catalysts for highly enantioselective Diels–Alder reactions». Journal of the American Chemical Society 113 (23): 8966-8967. doi:10.1021/ja00023a066.
- Corey, E. J.; Shibata, T.; Lee, T. W. (2002). «Asymmetric Diels-Alder reactions catalyzed by a triflic acid activated chiral oxazaborolidine». Journal of the American Chemical Society 124 (15): 3808-3809. PMID 11942799. doi:10.1021/ja025848x.
- Ryu, D. H.; Corey, E. J. (2003). «Triflimide activation of a chiral oxazaborolidine leads to a more general catalytic system for enantioselective Diels-Alder addition». Journal of the American Chemical Society 125 (21): 6388-6390. PMID 12785777. doi:10.1021/ja035393r.
- Johnson, J. S.; Evans, D. A. (2000). «Chiral bis(oxazoline) copper(II) complexes: Versatile catalysts for enantioselective cycloaddition, Aldol, Michael, and carbonyl Ene reactions». Accounts of Chemical Research 33 (6): 325-335. PMID 10891050. doi:10.1021/ar960062n.
- Ahrendt, K. A.; Borths, C. J.; MacMillan, D. W. C. (2000). «New Strategies for Organic Catalysis: The First Highly Enantioselective Organocatalytic Diels−Alder Reaction». Journal of the American Chemical Society 122 (17): 4243-4244. doi:10.1021/ja000092s.
- Corey, E. J.; Danheiser, Rick L.; Chandrasekaran, Srinivasan; Siret, Patrice; Keck, Gary E.; Gras, Jean Louis. «Stereospecific total synthesis of gibberellic acid. A key tricyclic intermediate». Journal of the American Chemical Society 100 (25): 8031-8034. doi:10.1021/ja00493a055.
- Corey, E. J.; Danheiser, Rick L.; Chandrasekaran, Srinivasan; Keck, Gary E.; Gopalan, B.; Larsen, Samuel D.; Siret, Patrice; Gras, Jean Louis. «Stereospecific total synthesis of gibberellic acid». Journal of the American Chemical Society 100 (25): 8034-8036. doi:10.1021/ja00493a056.
- Robert W. Sweger, Anthony W. Czarnik, in Comprehensive Organic Synthesis, 1991
- Zweifel, G. S.; Nantz, M. H. (2007). Modern Organic Synthesis: An Introduction. W.H. Freeman and Co. ISBN 978-0-7167-7266-8.
- Haslouin, J.; Rouessac, F. (1977). Bull. Soc. Chim. Fr. Pt. 2: 1242.
- Rogers, C.; Keay, B. A. (1991). «Catalytic methylaluminum dichloride: An efficient method for accelerating the intramolecular Diels-Alder reaction of the furan diene». Tetrahedron Lett. 32 (45): 6477. doi:10.1016/0040-4039(91)80197-E. hdl:1880/44897.
- Neukam, W.; Grimme, W. (1978). «Anionic (4+2)-cycloreversions leading to the cyanocyclopentadienide ion». Tetrahedron Lett. 19 (25): 2201. doi:10.1016/S0040-4039(01)86845-3.
- Ahmar, M.; Romain, I.; Bloch, R. (1993). «Efficient and highly stereoselective syntheses of enantiomerically enriched C(1)-C(7) subunits of erythronolides». J. Org. Chem. 58 (11): 2953. doi:10.1021/jo00063a009.
- Buck, C. J. J. (1978). «Unequivocal synthesis of bis(2-cyanoacrylate) monomers. I. Via anthracene adducts». Polym. Sci., Polym. Chem. Ed. 16 (10): 2475-2507. Bibcode:1978JPoSA..16.2475B. doi:10.1002/pol.1978.170161007.
- Hoye, T. R.; Baire, B.; Niu, D.; Willoughby, P. H.; Woods, B. P. Nature, 2012, 490, 208
- Inukai, Takashi; Kojima, Takeshi (1 de abril de 1966). «Catalytic Actions of Aluminum Chloride on the Isoprene—Methyl Acrylate Diels-Alder Reaction». The Journal of Organic Chemistry 31 (4): 1121-1123. doi:10.1021/jo01342a031.
- García, J. I.; Martínez-Merino, V.; Mayoral, J. A.; Salvatella, L. (1 de marzo de 1998). «Density Functional Theory Study of a Lewis Acid Catalyzed Diels−Alder Reaction. The Butadiene + Acrolein Paradigm». Journal of the American Chemical Society 120 (10): 2415-2420. doi:10.1021/ja9722279.
- Rickborn, Bruce (1998). «The Retro-Diels-Alder Reaction Part I. C−C Dienophiles». Organic Reactions. pp. 1-393. ISBN 978-0471264187. doi:10.1002/0471264180.or052.01.
- Bouas-Laurent, Henri; Desvergne, Jean-Pierre; Castellan, Alain; Lapouyade, Rene (2000). «Photodimerization of anthracenes in fluid solution: Structural aspects». Chemical Society Reviews 29: 43-55. doi:10.1039/a801821i.
- A Diels–Alder Type Reaction with Formaldehyde Thomas L. Gresham, Thomas R. Steadman J. Am. Chem. Soc., 1949, 71 (2), pp 737–738 doi 10.1021/ja01170a101
- Tetrahedron Report number 869 Asymmetric hetero-Diels–Alder reactions of carbonyl compounds Helene Pellissier Tetrahedron 65 (2009) 2839–2877 doi 10.1016/j.tet.2009.01.068
- N-benzyl-2-azanorbornene Paul A. Grieco and Scott D. Larsen Organic Syntheses, Coll. Vol. 8, p.31; Vol. 68, p.206 Article
- Direct Catalytic Enantioselective Aza-Diels-Alder Reactions Henrik Sundén, Ismail Ibrahem, Lars Eriksson, Armando Córdova Angewandte Chemie International Edition 4877 2005 Abstract
- Mandler, M. D.; Truong, P. M.; Zavalij, P. Y.; Doyle, M. P. Org. Lett. 2014, 16, 740-743.
- Samuel Danishefsky; Takeshi Kitahara & Paul F. Schuda (1983). «Preparation and Diels-Alder Reaction of a Highly Nucleophilic Diene: trans-1-Methoxyl-3-Trimethylsiloxy-1,3-Butadiene and 5β-Methoxycyclohexan-1-one-3β,4β-Dicarboxylic acid Andhydride». Org. Synth. 61. p. 147. ISBN 978-0471264224. doi:10.1002/0471264180.os061.30. Parámetro desconocido
|last-author-amp=ignorado (ayuda) - Woodward, R. B.; Sondheimer, F.; Taub, D.; Heusler, K.; McLamore, W. M. (1952). «The Total Synthesis of Steroids». Journal of the American Chemical Society 74 (17): 4223-4251. doi:10.1021/ja01137a001.
- Corey, E. J.; Weinshenker, N. M.; Schaaf, T. K.; Huber, W. (1969). «Stereo-controlled synthesis of prostaglandins F-2a and E-2 (dl)». Journal of the American Chemical Society 91 (20): 5675-7. PMID 5808505. doi:10.1021/ja01048a062.
- Nicolaou, K. C.; Sorensen, E. J. (1996). Classics in Total Synthesis: Targets, Strategies, Methods. Wiley VCH. ISBN 978-3-527-29231-8.
- De Lucchi, O.; Pasquato, L. (1988). «The role of sulfur functionalities in activating and directing olefins in cycloaddition reactions». Tetrahedron 44 (22): 6755-6794. doi:10.1016/S0040-4020(01)86204-9.
- Danishefsky, S.; Hirama, M.; Fritsch, N.; Clardy, J. (1979). «Synthesis of disodium prephenate and disodium epiprephenate. Stereochemistry of prephenic acid and an observation on the base-catalyzed rearrangement of prephenic acid to p-hydroxyphenyllactic acid». Journal of the American Chemical Society 101 (23): 7013-7018. doi:10.1021/ja00517a039.
- Wender, P. A.; Schaus, J. M.; White, A. W. (1980). «General methodology for cis-hydroisoquinoline synthesis: Synthesis of reserpine». Journal of the American Chemical Society 102 (19): 6157-6159. doi:10.1021/ja00539a038.
- Martin, S. F.; Rueger, H.; Williamson, S. A.; Grzejszczak, S. (1987). «General strategies for the synthesis of indole alkaloids. Total synthesis of (±)-reserpine and (±)-α-yohimbine». Journal of the American Chemical Society 109 (20): 6124-6134. doi:10.1021/ja00254a036.
- Smith, A. B.; Sestelo, J. P.; Dormer, P. G. (1995). «Total Synthesis of (-)-Furaquinocin C». Journal of the American Chemical Society 117 (43): 10755-10756. doi:10.1021/ja00148a023.
- Kozmin, S. A.; Rawal, V. H. (1998). «A General Strategy to Aspidosperma Alkaloids: Efficient, Stereocontrolled Synthesis of Tabersonine». Journal of the American Chemical Society 120 (51): 13523-13524. doi:10.1021/ja983198k.
- Gibbs, R. A.; Okamura, W. H. (1988). «A short enantioselective synthesis of (+)-sterpurene: Complete intramolecular transfer of central to axial to central chiral elements». Journal of the American Chemical Society 110 (12): 4062-4063. doi:10.1021/ja00220a069.
- Charest, M. G.; Siegel, D. R.; Myers, A. G. (2005). «Synthesis of (-)-tetracycline». Journal of the American Chemical Society 127 (23): 8292-3. PMID 15941256. doi:10.1021/ja052151d.
- Organic Syntheses, Coll. Vol. 5, p.1037 (1973); Vol. 46, p.107 (1966). Link
- Organic Syntheses, Coll. Vol. 10, p.678; Vol. 75, p.201 Article
- Buszek, K. R.; Brown, N.; Kuo, D. Org. Lett. 2009, 11, 201
- Watanabe, K.; Mie, T.; Ichihara, A.; Oikawa, H.; Honma, M. (2000). «Detailed Reaction Mechanism of Macrophomate Synthase». J. Biol. Chem. 275 (49): 38393-38401. PMID 10984474. doi:10.1074/jbc.M003119200.
- Witter, DJ; Vederas, JC (1996). «Putative Diels-Alder catalyzed cyclization during the biosynthesis of lovastatin». J Org Chem 61 (8): 2613-23. PMID 11667090. doi:10.1021/jo952117p.
- «Biosynthesis of Germacrene A Carboxylic Acid in Chicory Roots. Demonstration of a Cytochrome P450 (+)-Germacrene A Hydroxylase and NADP+-Dependent Sesquiterpenoid Dehydrogenase(s) Involved in Sesquiterpene Lactone Biosynthesis». Plant Physiol. 125 (4): 1930-40. April 2001. PMC 88848. PMID 11299372. doi:10.1104/pp.125.4.1930. Parámetro desconocido
|vauthors=ignorado (ayuda)





